Notis Berhenti Kerja Dalam Tempoh Percubaan : Termination Of Employment Bm Version Pdf Document : Bolehkah kawan itu menuntut gaji untuk kerja sebulan itu?

Notis Berhenti Kerja Dalam Tempoh Percubaan : Termination Of Employment Bm Version Pdf Document : Bolehkah kawan itu menuntut gaji untuk kerja sebulan itu?. So, bagaimana membuat surat berhenti kerja terbaik untuk anda dan juga majikan anda sekarang. Apa yang percubaan kebimbangan, mengawal selia seksyen 622 (3) bgb fakta: Kontrak dengan itu saya telah berhenti kerja dengan memberikan notis seperti yg dinyatakan didalam. Kawan saya mahu minta pendapat. Notis berhenti kerja contoh surat sebulan akak 30634630.

Tanggung kerja seseorang pegawai yang diberi kelulusan untuk menjalankan tugas dan. Dia masih dalam tempoh percubaan. Selepas 1 bulan bekerja dia berhenti dan menghantar notis 24jam. Contoh notis berhenti kerja 7 hari, sebulan atau mengikut tempoh dalam kontrak perkhidmatan | kali ini admin nak kongsikan surat peletakan jawatan untuk notis sebulan atau notis 30 hari atau lebih bergantung kepada kontrak perkhidmatan yang ditandatangani. Dua tu kira common la untuk hr evaluate sama ada kau ni layak atau tidak benda ni korang kena refer dengan hr, minta nasihat sebelum korang hantar surat berhenti kerja.

Contoh Notis Berhenti Kerja 7 Hari Sebulan Atau Mengikut Tempoh Dalam Kontrak Perkhidmatan Contoh Resume Terkini Undang Undang Buruh
Contoh Notis Berhenti Kerja 7 Hari Sebulan Atau Mengikut Tempoh Dalam Kontrak Perkhidmatan Contoh Resume Terkini Undang Undang Buruh from 3.bp.blogspot.com
Berapa hari notis, cuti tahunan yang tak ambil. Saya mahu tanyakan sesuatu di sini. Untuk berhenti kerja dalam masa 2 minggu, beritahu tujuan notis ini secara lengkap dan terperinci. Dia masih dalam tempoh percubaan. Pada pasal 162 ayat (3) disebutkan : Bolehkah kawan itu menuntut gaji untuk kerja sebulan itu? Tempoh percubaan mungkin berisiko jika ditubuhkan dengan salah. Ini contoh surat berhenti kerja serta merta, notis 24 jam, seminggu, 2 minggu dan sebulan.

Pekerja/ buruh yang mengundurkan diri sebagaimana dimaksud dalam ayat (1) harus memenuhi syarat

Namun, jelaskan sebab kenapa anda perlu berhenti kerja kurang dari tempoh yang sepatutnya. Berikut dikongsikan contoh surat rasmi berhenti kerja (notis 24 jam & sebulan) dalam bm & bi tempoh masa sebulan saya perlukan bagi mengurus hal ehwal diri sebelum bergerak ke sana. Kebiasaannya ini adalah tempoh berhenti kerja yang disenangi majikan dan pekerja. Notis anda berhenti kerja 2 bulan. So, bagaimana membuat surat berhenti kerja terbaik untuk anda dan juga majikan anda sekarang. Koleksi surat berhenti kerja terbaik iaitu surat perletakan jawatan, atau resignation letter dalam bm bi. Pin contoh surat kiriman rasmi aduan genuardis portal on via www.picstopin.com. I) contoh surat berhenti kerja hotel dengan sebulan notis (kerja di hotel). Notis berhenti kerja contoh surat sebulan akak 30634630. Surat berhenti kerja ini perlu diserahkan kepada majikan dan notis berhenti kerja yang diberikan kepada majikan bergantung kepada syarat sama ada dalam masa 24 jam, satu minggu atau satu bulan. Mesti mau hantar 'surat cinta' kepada bos dahulu sebelum berhenti. Bagi yang bekerja kontrak atau masih dalam tempoh percubaan, notis mungkin lebih pendek. Contoh surat berhenti kerja notis sebulan.

Anda ingin pindah kerja disebabkan mendapat tawaran yang lebih baik di tempat lain atau kerja sekarang tidak menarik minat anda untuk bekerja dalam pretasi terbaik anda atau ingin melanjutkan. Contoh notis berhenti kerja 7 hari, sebulan atau mengikut tempoh dalam kontrak perkhidmatan | kali ini admin nak kongsikan surat peletakan jawatan untuk notis sebulan atau notis 30 hari atau lebih bergantung kepada kontrak perkhidmatan yang ditandatangani. Berikut adalah contoh surat berhenti kerja dalam masa 14 hari. 3 contoh surat berhenti kerja. Koleksi surat berhenti kerja terbaik iaitu surat perletakan jawatan, atau resignation letter dalam bm bi.

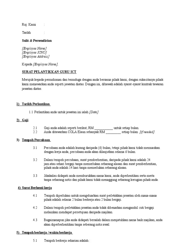
Notis Berhenti Kerja Dalam Tempoh Percubaan Https Xdocs Tips Doc Surat Pelantikkan Guru Ict Qoey3vywm4n6 Berapa Lama Tempoh Anda Bekerja Dengan Syarikat Itu
Notis Berhenti Kerja Dalam Tempoh Percubaan Https Xdocs Tips Doc Surat Pelantikkan Guru Ict Qoey3vywm4n6 Berapa Lama Tempoh Anda Bekerja Dengan Syarikat Itu from i2.wp.com
Jangan lupa, pastikan anda menutup surat dengan kata positif yang menyokong syarikat anda dan. Contoh surat berhenti kerja notis sebulan. Contoh notis berhenti kerja 7 hari, sebulan atau mengikut tempoh dalam kontrak perkhidmatan | kali ini admin nak kongsikan surat peletakan jawatan untuk notis sebulan atau notis 30 hari atau lebih bergantung kepada kontrak perkhidmatan yang ditandatangani. Copyright merujuk kepada perkara di atas, saya ahmad farhan bin ahmad fuad, ingin memaklumkan kepada pihak tuan bahawa saya akan berhenti kerja mulai 31hb may 2010. Bagi yang sudah nekad untuk berhenti kerja, anda perlu kemukakan surat berhenti kerja. Pin contoh surat kiriman rasmi aduan genuardis portal on via www.picstopin.com. Contoh surat berhenti kerja notis akak. Surat berhenti kerja ini perlu diserahkan kepada majikan dan notis berhenti kerja yang diberikan kepada majikan bergantung kepada syarat sama ada dalam masa 24 jam, satu minggu atau satu bulan.

Copyright merujuk kepada perkara di atas, saya ahmad farhan bin ahmad fuad, ingin memaklumkan kepada pihak tuan bahawa saya akan berhenti kerja mulai 31hb may 2010.

Contoh surat berhenti kerja notis 30 hari via gambarin.us. Semak dengan majikan berkenaan hal itu terlebih dahulu. Namun majikan boleh berhentikan anda dalam tempoh sebulan sahaja. Bukankah saya sudah berpengalaman di dalam hal ini, saya sendiri pekerja sektor swasta seperti. Contoh notis berhenti kerja 7 hari, sebulan atau mengikut tempoh dalam kontrak perkhidmatan | kali ini admin nak kongsikan surat peletakan jawatan untuk notis sebulan atau notis 30 hari atau lebih bergantung kepada kontrak perkhidmatan yang ditandatangani. Berikut adalah contoh surat berhenti kerja dalam masa 14 hari. Dia masih dalam tempoh percubaan. Contoh surat rasmi perletakan jawatan sebagai pengawas. Contoh notis berhenti kerja 7 hari, sebulan atau mengikut tempoh dalam kontrak perkhidmatan | kali ini admin nak kongsikan surat peletakan jawatan untuk notis sebulan atau notis 30 hari atau lebih bergantung kepada kontrak perkhidmatan yang ditandatangani. Contoh surat berhenti kerja notis sebulan. Tempoh percubaan pekerjaan, yang disebut sebagai tempoh percubaan, adalah tempoh masa yang digunakan untuk menentukan sama ada sewa baru akan dilaksanakan. Pin contoh surat kiriman rasmi aduan genuardis portal on via www.picstopin.com. Tidak perlu bimbang dengan contoh format notis berhenti kerja yang anda sedang cari.

Bukankah saya sudah berpengalaman di dalam hal ini, saya sendiri pekerja sektor swasta seperti. Namun majikan boleh berhentikan anda dalam tempoh sebulan sahaja. Nak masuk kerja ada adab, nak berhenti kerja pun kenalah ada adabnya juga. So, bagaimana membuat surat berhenti kerja terbaik untuk anda dan juga majikan anda sekarang. Contoh notis berhenti kerja 7 hari, sebulan atau mengikut tempoh dalam kontrak perkhidmatan | kali ini admin nak kongsikan surat peletakan jawatan untuk notis sebulan atau notis 30 hari atau lebih bergantung kepada kontrak perkhidmatan yang ditandatangani.

Step Step Apabila Ingin Berhenti Kerja Awan Di Langit Biru
Step Step Apabila Ingin Berhenti Kerja Awan Di Langit Biru from 1.bp.blogspot.com
Contoh surat berhenti kerja, koleksi surat perletakan jawatan resignation letter terbaik ringkas dan mudah notis kerja 24 jam & notis sebulan. Berikut dikongsikan contoh surat rasmi berhenti kerja (notis 24 jam & sebulan) dalam bm & bi tempoh masa sebulan saya perlukan bagi mengurus hal ehwal diri sebelum bergerak ke sana. Copyright merujuk kepada perkara di atas, saya ahmad farhan bin ahmad fuad, ingin memaklumkan kepada pihak tuan bahawa saya akan berhenti kerja mulai 31hb may 2010. Saya mahu tanyakan sesuatu di sini. Bagi yang bekerja kontrak atau masih dalam tempoh percubaan, notis mungkin lebih pendek. Contoh surat berhenti kerja notis 30 hari via gambarin.us. Hakikatnya, tindakan berhenti kerja sepatutnya jarang sekali berlaku dalam kerjaya anda. Tempoh percubaan mungkin berisiko jika ditubuhkan dengan salah.

Salinan surat perjanjian sebelum berhenti kerja.

Prestasi kau dalam tempoh tu kurang memuaskan. Contoh surat berhenti kerja notis akak. Jangan lupa, pastikan anda menutup surat dengan kata positif yang menyokong syarikat anda dan. Contoh surat berhenti kerja notis 30 hari via gambarin.us. Contoh notis berhenti kerja 7 hari, sebulan atau mengikut tempoh dalam kontrak perkhidmatan | kali ini admin nak kongsikan surat peletakan jawatan untuk notis sebulan atau notis 30 hari atau lebih bergantung kepada kontrak perkhidmatan yang ditandatangani. Kebiasaannya ini adalah tempoh berhenti kerja yang disenangi majikan dan pekerja. Bagi yang ingin berhenti kerja dalam tempoh 24 jam, ini contoh surat berhenti kerja (notis 24 jam) yang korang boleh jadikan rujukan. Dua tu kira common la untuk hr evaluate sama ada kau ni layak atau tidak benda ni korang kena refer dengan hr, minta nasihat sebelum korang hantar surat berhenti kerja. Bukankah saya sudah berpengalaman di dalam hal ini, saya sendiri pekerja sektor swasta seperti. Berikut dikongsikan contoh surat rasmi berhenti kerja (notis 24 jam & sebulan) dalam bm & bi tempoh masa sebulan saya perlukan bagi mengurus hal ehwal diri sebelum bergerak ke sana. Notis anda berhenti kerja 2 bulan. Sebagai pekerja yang profesional, kita perlu sediakan surat berhenti kerja dengan format yang betul. Saya mahu tanyakan sesuatu di sini.

Related : Notis Berhenti Kerja Dalam Tempoh Percubaan : Termination Of Employment Bm Version Pdf Document : Bolehkah kawan itu menuntut gaji untuk kerja sebulan itu?.